Mathematics-Abdullah Aydemir
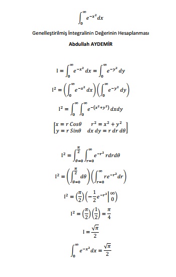
In this study, the value of an improper integral is calculated.
Yayımlandı
kategorisi
yazarı:
abdull26
Etiketler:
E-posta adresiniz yayınlanmayacak. Gerekli alanlar * ile işaretlenmişlerdir
Yorum *
Ad *
E-posta *
İnternet sitesi
Daha sonraki yorumlarımda kullanılması için adım, e-posta adresim ve site adresim bu tarayıcıya kaydedilsin.
Bir yanıt yazın