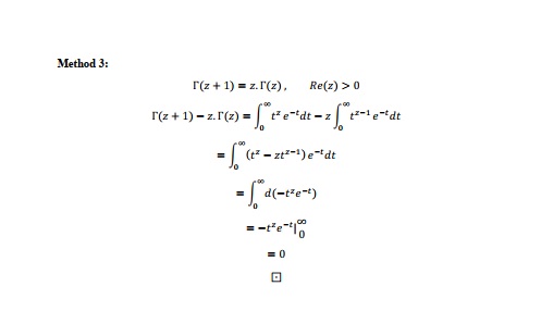
An important property of the gamma function: The difference, functional or recurrence equation


Yayımlandı

kategorisi

, , ,

yazarı:

Yorumlar

Bir yanıt yazın

E-posta adresiniz yayınlanmayacak. Gerekli alanlar * ile işaretlenmişlerdir