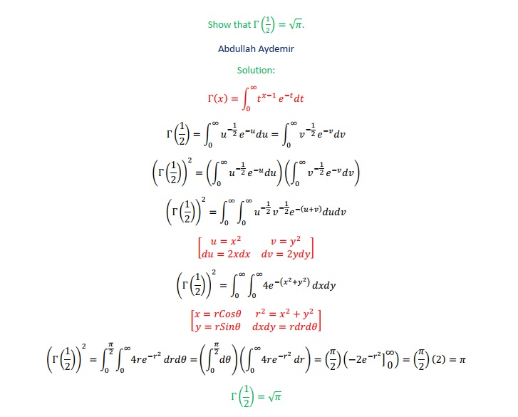
The value of Gamma(1/2)


Yayımlandı

kategorisi

, , ,

yazarı:

Yorumlar

Bir yanıt yazın

E-posta adresiniz yayınlanmayacak. Gerekli alanlar * ile işaretlenmişlerdir